FAST-CAD: A Fairness-Aware Framework for Non-Contact Stroke Diagnosis

Self-supervised multimodal sensing + unified Domain-Adversarial Training and Group-DRO enable equitable, contact-free stroke screening.

First Author: Tianming (Tommy) Sha1
Zechuan Chen3, Zhan Cheng2, Haotian Zhai3, Xuwei Ding2, Corresponding: Keze Wang3†
1 Stony Brook University · 2 University of Wisconsin-Madison · 3 Sun Yat-sen University
Corresponding author

AAAI 2026 · Oral

Why FAST-CAD?

FAST-CAD bridges the gap between hospital-bound imaging and low-accuracy manual FAST checks by fusing facial, tongue, limb, and speech cues captured with commodity RGB-D cameras and microphones.

  • Unified optimization couples Domain-Adversarial Training with Group-DRO for provably bounded subgroup gaps.
  • Self-supervised SeCo and HuBERT encoders remove the need for large labeled medical corpora.
  • Clinically interpretable outputs and fairness diagnostics enable deployment in community screening and telemedicine.
Comparison of conventional and FAST-CAD stroke workflows
FAST-CAD delivers actionable triage decisions within the golden window without physical contact or hospital visits.

Self-Supervised Encoders

Frozen SeCo video and HuBERT audio backbones extract 768-d representations that capture facial asymmetry, tongue motion, limb coordination, and dysarthria.

Fairness-First Optimization

Adversarial heads drive demographic invariance while Group-DRO maintains Rawlsian guarantees via adaptive group weights.

Clinical Readiness

Deployment on low-cost tablets, automatic subgroup auditing, and convergence proofs increase practitioner trust.

Abstract

Stroke is an acute cerebrovascular disease, and timely diagnosis significantly improves patient survival. However, existing automated diagnosis methods suffer from fairness issues across demographic groups, potentially exacerbating healthcare disparities. We address this challenge with FAST-CAD, a theoretically grounded framework that integrates Domain-Adversarial Training (DAT) with Group Distributionally Robust Optimization (Group-DRO) for fair and accurate non-contact stroke diagnosis. FAST-CAD leverages domain adaptation theory and minimax fairness to provide convergence guarantees and subgroup risk bounds while learning from a multimodal dataset spanning 12 demographic subgroups defined by age, gender, and posture. Self-supervised encoders paired with adversarial domain discriminators learn demographic-invariant representations, and Group-DRO optimizes worst-group risk. FAST-CAD attains 91.2% AUC with subgroup gaps under 3% while theoretical analysis confirms the effectiveness of the unified DAT + Group-DRO objective, offering practical advances and insights for fair medical AI.

Dataset

Demographically Stratified Dataset

We curate 243 subjects across 12 demographic combinations (age × gender × posture) with synchronized RGB video, depth, audio, and keypoint annotations. Collection followed medical ethics protocols under clinician supervision, and the 4:1 split with 5-fold cross-validation is aligned with clinical reporting.

  • Balanced representation across age brackets (<35, 35-60, >60) and postures (sitting, sleeping).
  • Parallel recording of facial asymmetry, tongue motion, arm drift, and speech for richer FAST cues.
  • Automatic demographic auditing enables fairness diagnostics and targeted data acquisition.

Cohort Composition

Category Subcategory Count (%)
Age< 3565 (26.7)
Age35-6096 (39.5)
Age> 6082 (33.7)
GenderMale145 (59.7)
GenderFemale98 (40.3)
PostureSitting149 (61.3)
PostureSleeping94 (38.7)
Methodology

Unified DAT + Group-DRO Training

FAST-CAD alternates between Group-DRO importance updates and demographic adversaries to minimize worst-group risk while enforcing invariance.

  1. Group reweighting: update importance weights q_g via exponentiated gradients to track worst-performing subgroups.
  2. Domain-adversarial objectives: gradient-reversal heads for age, gender, and posture minimize I(z; a) with empirical d_{H-Delta-H} ~ 0.05.
  3. Fair classification: optimize L_total = sum_g q_g L_g^{cls} + lambda_adv L_adv with alternating dual-stream fusion that preserves modality balance.

Theoretical analysis yields O(sqrt(log G / T)) convergence and fairness bounds linking worst-group risk to mutual information penalties.

FAST-CAD architecture
Frozen encoders feed projection heads, fairness-aware fusion, and demographic discriminators with gradient reversal.
Fairness

Fairness Diagnostics

Demographic discriminators trained on learned representations drop to random accuracy (age 33.3%, gender/posture 50.0%), validating domain invariance. Group-DRO traces the theoretical O(1/sqrt(T)) slope, while subgroup risk gaps fall below 1.7 percentage points.

Domain Gap

d_{H-Delta-H} plateaus near 0.05, indicating demographic discriminators cannot distinguish age/gender/posture partitions after adaptation, which keeps subgroup decision boundaries aligned.

Mutual Information

Dual-stream fusion with adversarial heads constrains I(z; a) to ≤ 0.02, so no modality leaks demographic cues—an essential precondition for Rawlsian fairness guarantees.

Robust Optimization

Exponentiated-gradient Group-DRO spikes minority weights when their loss rises, steering updates toward worst-group AUC and yielding 3.0% max-min gaps without extra supervision.

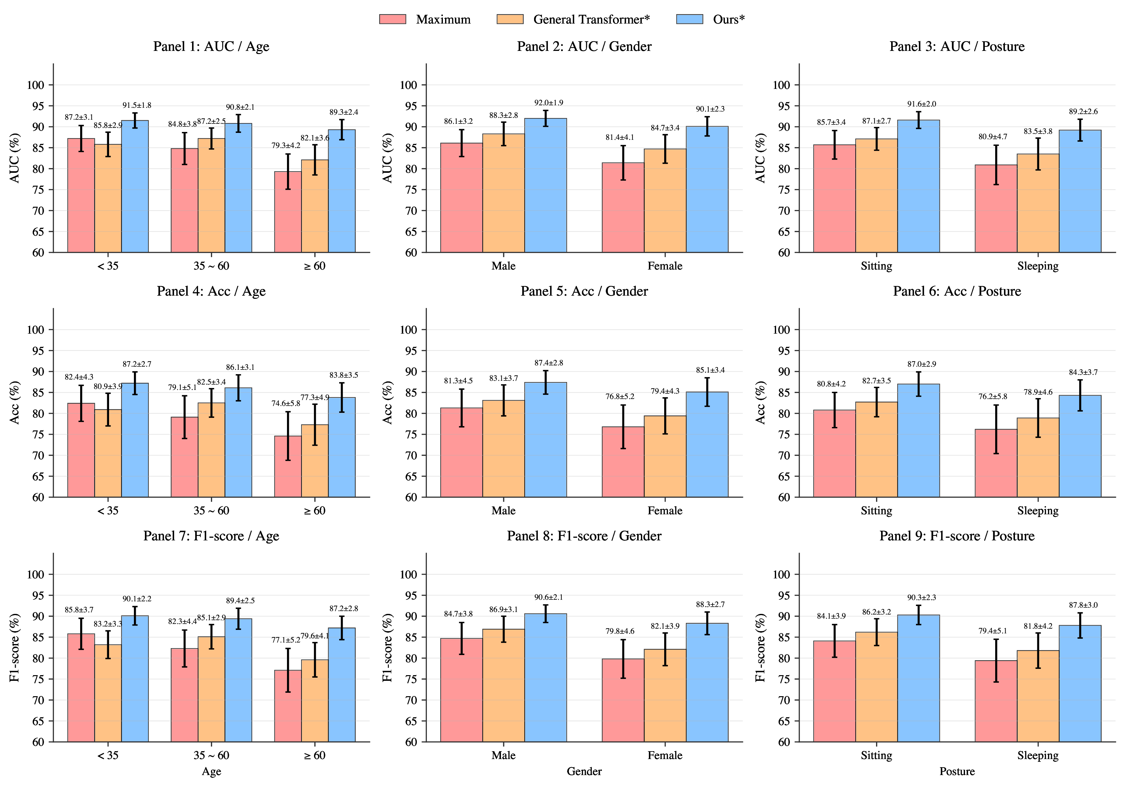
Fairness comparison figure
FAST-CAD improves both average and worst-group AUC while shrinking subgroup dispersion.
Results

Results & Tables

FAST-CAD sets a new operating point for non-contact stroke screening by delivering state-of-the-art accuracy, fairness, and domain robustness.

Comparison with Prior Work

Benchmark Suite
Method Input AUC Acc F1 Sens Spec
I3DRGB68.1 ± 9.770.9 ± 10.675.8 ± 9.765.273.1
TimeSformerRGB74.4 ± 7.279.9 ± 6.285.4 ± 6.372.378.1
DeepStrokeMulti84.5 ± 5.676.2 ± 5.982.3 ± 4.782.185.1
VideoMAERGB81.0 ± 3.278.2 ± 5.682.7 ± 4.878.482.1
M3StrokeMulti86.3 ± 4.379.2 ± 3.984.2 ± 4.284.187.2
wav2vec 2.0Audio63.1 ± 3.771.6 ± 4.773.4 ± 6.859.875.3
WavLMAudio68.4 ± 3.872.8 ± 4.374.9 ± 5.266.276.4
Cross-AttentionMulti88.6 ± 2.283.1 ± 4.887.2 ± 3.486.489.1
FAST-CADMulti91.2 ± 1.587.2 ± 3.190.8 ± 2.389.192.3

Fairness Metrics

Equity Gap
Method Worst AUC Delta max-min Gini
Maximum (MViT)75.2%8.0%0.042
General Transformer*81.8%5.8%0.026
FAST-CAD89.5%3.0%0.011

*Feature-concatenation variant built on the same encoders.

Modality Fusion Study

Design Ablation
Modalities AUC Delta vs Face Params
Face82.1 ± 5.1--28M
Face + Tongue85.7 ± 4.7+3.638M
Face + Tongue + Body88.3 ± 2.2+6.245M
All Modalities91.2 ± 1.5+9.159M

Cross-Domain Validation

External Cohort
Method Original AUC External AUC Drop
MViT78.0%65.3%-12.7%
M3Stroke86.3%71.6%-14.7%
FAST-CAD91.2%83.7%-7.5%

External cohort: 86 participants recorded in home and telemedicine settings.

BibTeX

@misc{sha2025fastcadfairnessawareframeworknoncontact,
  title={FAST-CAD: A Fairness-Aware Framework for Non-Contact Stroke Diagnosis},
  author={Tianming (Tommy) Sha and Zechuan Chen and Zhan Cheng and Haotian Zhai and Xuwei Ding and Keze Wang},
  year={2025},
  eprint={2511.08887},
  archivePrefix={arXiv},
  primaryClass={cs.LG},
  url={https://arxiv.org/abs/2511.08887}
}